1、含氮碱基:腺嘌呤[A]、鸟嘌呤[G]、胸腺嘧啶[T]、胞嘧啶[C];
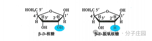
2、脱氧核糖:核糖存在于RNA中,脱氧核糖的化学稳定性优于核糖;
脱氧核糖+含氮碱基——>脱氧核苷、由“糖苷键”连接;
脱氧核苷+磷酸基团—脱水缩合—>脱氧核苷酸;根据连接的磷酸基团数目的多少,核苷酸可分为核苷一磷酸[NMP]、核苷二磷酸[NDP]、核苷三磷酸[NTP]。
4、DNA是很多脱氧核苷酸通过3',5'-磷酸二脂键聚合形成的线性大分子。
①. 两条多聚脱氧核苷酸链反向缠绕形成右手螺旋结构;
②. 两条多聚脱氧核苷酸链之间的碱基形成互补碱基对,其中A与T配对形成2对氢键、G与C配对形成3对氢键;
③. 多聚脱氧核苷酸链的脱氧核糖和磷酸基团构成亲水性骨架、将疏水性的碱基对包埋在DNA双螺旋结构内部;
④. 相邻两个碱基对平面彼此重叠、产生疏水性的碱基堆积力,和碱基对之间的氢键共同维持DNA双螺旋结构的稳定。

3、封闭环状DNA的超螺旋结构:绝大部分原核生物的DNA是环状的双螺旋分子,在细胞内进一步盘绕后形成了类核结构;真核细胞中的线粒体DNA也是具有封闭环状的双螺旋分子。
染色体基本组成单位是核小体,它是由一段双链DNA和4种碱性蛋白共同构成;八个组蛋白分子共同形成一个八聚体的核心组蛋白,长度约146bp的DNA双链在核心组蛋白上盘绕1.75圈,形成核小体的核心颗粒;连接相邻核小体的一段DNA称为linker DNA、其长度0-50bp不等。
| 真核生物 |
细胞核内、双链线性DNA |
| 原核生物 |
双链环状DNA、超螺旋结构 |
| 病毒 |
单链线性/环状DNA、双链线性/环状DNA |
2、线粒体DNA[ mtDNA ]:真核生物线粒体内、环状双链、大小16569bp;
|
|