|
细胞呼吸刚复习完,现将我的一节习题讲评课提供给大家。题目是我精心挑选的,自己感觉课堂效果还不错,比较适合基础班的学生。希望对大家掌握细胞呼吸有所帮助。
一、细胞呼吸的原理(过程)、类型及其比较
这类题的核心是对细胞呼吸过程的考察,我对教材的处理是把细胞呼吸的过程用反应式来表示,要求学生必须会默写反应式。并且要达到非常熟练的程度。
 
对点训练:
1、下图表示有氧呼吸过程,下列有关说法正确的是 ( )
 A.①②④中数值最大的是①
B.③代表的物质名称是氧气
C.产生①②的场所是线粒体
D.某些原核生物能完成图示全过程
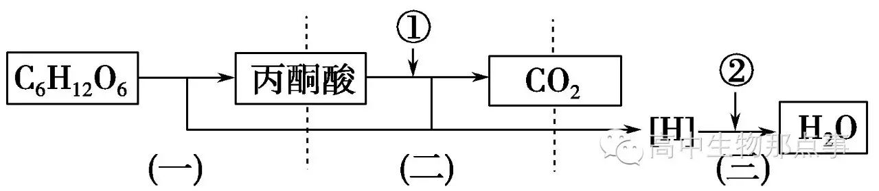
2.如图表示绿色植物细胞内部分物质转化过程,以下有关叙述正确的是( )
A.图中①、②两物质依次是H2O和O2
B.图中(一)、(二)两阶段产生[H]的场所都是线粒体
C.图中(三)阶段产生的水中的氢最终都来自葡萄糖
D.该过程在有光条件下能进行,在无光条件下不能进行
3.细胞内糖分解代谢过如下图,下列叙述错误的是 ( )
 A.植物细胞能进行过程①和③或过程①和④
B.真核细胞的细胞质基质中能进行过程①和②
C.动物细胞内,过程②比过程①释放的能量多
D.乳酸菌细胞内,过程①产生[H],过程④消耗[H]
4.下列有关有氧呼吸的叙述,正确的是 ( )
A.有氧呼吸酶主要分布在线粒体的外膜、内膜和基质中
B.线粒体可在有氧条件下将葡萄糖氧化分解为CO2和水
C.用18O标记葡萄糖,则产物水中不会检测到放射性
D.进行有氧呼吸的细胞都含有线粒体
5.下列关于人体内有氧呼吸和无氧呼吸的比较,正确的是 ( )
A.二氧化碳只是有氧呼吸的产物
B.葡萄糖只能作为有氧呼吸分解的底物
C.还原氢只在有氧呼吸过程中产生
D.无氧呼吸的两个阶段都能产生ATP
6.右图为线粒体的结构示意图,其中不可能发生的反应是
 A.②处产生[H]和CO2
B.①、②、③都处产生ATP
C.②处消耗丙酮酸
D.③处发生[H]与O2的结合反应
二、细胞呼吸类型的判断
解此类题的核心还是要根据有氧呼吸和无氧呼吸的反应式来解。根据反应式我们可以归纳:

对点训练:
【打印本页】【关闭窗口】 |